본문 바로가기
네이트
판
검색창 열기
판 검색
검색어 삭제
검색
홈
톡톡
팬톡
기자 PICK 판
MY
톡톡쓰기
오늘의 판
톡커들의 선택
명예의 전당
전체목록
책갈피
맨위로
이 게시글을 책갈피 합니다.
MY에서 그룹관리가 가능합니다.
그룹관리하기
그룹을 선택해주세요.
등록
취소
책갈피 완료!
MY > 즐겨찾기에서 확인하세요.
책갈피 해제 완료!
10대 이야기
[19]
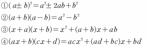
고3들아 너네 이공식외워??
ㅇㅇ
|
2020.03.16 20:41
조회
36,706
|
추천
10
톡 공유하기
댓글
161
댓글쓰기
기능 더보기
크게보기
신고하기
나불안해서 보는중인데 ㄹㅇ 유도과정봐도 모르겠다 내가 직접 도출해봐도 안됨;
교과외과정이라 그런가 씨3방 ㅜㅜㅜ 근데 알면 로피탈처럼 요긴하다해서 그냥 넘어가기도그렇고 하.. 걍 수능직전에 ㅈㄴ게외워야되나
추천
추천수
10
반대
반대수
331
네이트온 보내기
카카오톡 보내기
카카오스토리 보내기
페이스북 보내기
트위터 보내기
URL복사
베플
ㅇㅇ
|
2020.03.17 01:02
미적 하다가 미쳐버린 고3..
베플
ㅇ
|
2020.03.17 08:49
ㅋㅋ ㅋ ㅋ ㅋ ㅋㅋ 무조건 컨셉이지 이거... 로피탈 아는데 이걸 모를 수가 없자늠 ㅋ ㅋ ㅋㅋㅋ 개웃기는데
댓글
161
댓글쓰기
10대 이야기
[19]
인기 톡 채널
[댓글부탁해]
[드루와]
[19]
태그
기숙학원
가슴수술
10대 이야기
베스트
남자들 말 이해 못하는거
댓글
46
난 솔직히 스승의날 ㅈㄴ싫어했음
댓글
65
난 변우석보다 아이유가 더 심각한거같음
댓글
36
애매하게 생긴 애 스토리 공수치오네
댓글
26
ㅈㄴ어이없네 너무 티나는 거 아니냐
댓글
9
더보기
명예의 전당
국물냈던 무 아이한테 먹이는거 싫으신가요?
제가 미혼이라 엄마입장을 고려하지못한건가 해서 질문드립니다. 우선저는 완전 늦둥이딸이고요. 위로 큰오빠 작은오빠 있어요 둘다 결혼했...
댓글
155
남편한테 이혼하자고 말했습니다.
저희 부부는 32살 동갑으로 작년 3월에 결혼해 이제 막 1년이 넘은 신혼부부입니다. 3년의 연애 기간동안 작은 말다툼들은 있었지만 큰 문...
댓글
263
대군부인 진짜로 김지원이 했다면 잘 어올렸을까
요즘 비교 영상도 뜨고 무엇보다 공승연 김지원 연기 붙여놓은거 있는데 겁나 잘 어올렸음 주연보다 공승연이 혼자 잘해서 튀어보였는데 ...
댓글
157
대군분인 동북공정 논란 터짐
댓글
106
대축 이후 유입 생기고 있는 거 같다는 여돌
코스모시 6일부터 축제 돌기 시작했는데 음반 판매량도 같이 높아지고 있음 대학 축제 돌면서 팬들 붙고 있나봐
댓글
77
더보기
추천 많은 톡
남편한테 이혼하자고 말했습니다.
추천
533
대군부인 진짜로 김지원이 했다면 잘 어올렸을까
추천
496
대군분인 동북공정 논란 터짐
추천
285
남편의 태도가 상식적인지 궁금합니다.
추천
236
난 솔직히 스승의날 ㅈㄴ싫어했음
추천
221
댓글 많은 톡
남편한테 이혼하자고 말했습니다.
댓글
263
불가리가 장원영 ㄱㅅ골 지웠네 …;;
댓글
199
대군부인 진짜로 김지원이 했다면 잘 어올렸을까
댓글
157
남편의 태도가 상식적인지 궁금합니다.
댓글
148
정말답답 누구잘못인가요
댓글
126
새로운 베플
베플
신세경이 옛날부터 청순섹시로 유명하지 않았나
ㄱㄷ 청순섹시는 진짜 없지않냐
댓글
12
베플
초심자의 행운이고 나발이고 걍 우량주 아무거나 넣기만 하면 싹 다 올랐기때문에 잘하는거 아님. 하락장에 수익 보는게 찐으로 잘하는거… ..
나 주식한지 한달 좀 넘었는데
댓글
9
베플
공부나 쳐 해라
중3커플 느린건가
댓글
22
베플
한국 여자들 특: (1) 내가 불만이나 요구사항을 구체적으로 표현하지 않아도 남자가 다 알아서 해주는거 당연하다. (2) 남자가 애정표현을 ..
남자들 말 이해 못하는거
댓글
46
베플
비싼 호텔 결혼식 같은 데선 못 봤긴 해
이거 욕하는 포인트 1나도 이해안됨
댓글
40
더보기
공감많은 뉴스
연예
1
아이유, 결국 눈물 흘렸다…연기 혹평·역사왜곡에 심경고백 "다 내 잘못"
전체 공감 수
679
2
300억 대작 '대군부인', '역사왜곡' 불명예 퇴장…오디오+대본집 수정에도 '싸늘'[Oh!쎈 이슈]
전체 공감 수
431
3
잘 나가던 '대군부인', 종영 직전 발칵…"천세" 외치고 中 다도까지[이슈S]
전체 공감 수
223
4
논란 딛고 가요계 복귀…샤이니 키, 대중 공감 얻을까 [N초점]
전체 공감 수
195
5
'故최진실 딸' 최준희, 결혼식에 '불화' 외할머니 초대…"당연히 오셔야" [SC이슈]
전체 공감 수
161
6
"입던 옷 속으로 구교환 품어" 고윤정 위로 장면에…시청자 "여자로서 모욕적" 분통[MD이슈]
전체 공감 수
151
7
이하늘, 곱창집 또 경찰 출동 "내가 싫어서 억지 신고…진짜 민폐는 너희" 분통
전체 공감 수
123
8
종영 '21세기 대군부인' 꿈 이룬 변우석…♥아이유와 공개 키스 [전일야화]
전체 공감 수
116
9
탁재훈♥한혜진, 15살차 커플 탄생하나 "나랑 같이 가면 되잖아요"[순간포착]
전체 공감 수
114
10
배우 김영옥, 오늘 남편상 비보…KBS 전 아나운서 김영길 별세
전체 공감 수
104
11
최준희♥11살 연상 남편, 결혼식 뒤풀이 포착…볼기 맞고 술 원샷 "경상도식"
전체 공감 수
89
12
변우석♥아이유, 군주제 폐지 후 꽉 찬 해피엔딩…야구장 키스 ('21세기 대군부인') [종합]
전체 공감 수
81
13
'통편집' 31기 옥순, 과거 대변인 시절 비주얼은 사뭇 다르네…사진 확산
전체 공감 수
76
14
'K팝 대표 주자' 방탄소년단 지민 'Angel Pt.1' 美 레코드산업협회 골드 플래티넘 인증
전체 공감 수
75
15
"이 귀염둥이 누구야" 방탄소년단 진, 멕시코 대중까지 사로잡은 '월드와이드 핸섬'…즐거운 놀이공원 사진 공개
전체 공감 수
75
이전
1
2
3
4
5
다음
더보기
공유하기
네이트온
카카오톡
카카오
스토리
페이스북
트위터
URL복사
닫기
뉴스 플러스
80만원 받고 남의 집 현관에 간장·래커칠…행동대원 남성 검거
"8000원에 샐러드까지"…갓성비 구내식당, 단 외부인은 12시 이후 입장하세요 [단내나는 짠테크]
"윤석열 감옥" 현수막에 국힘 '대댓글' 달았다 철거한 까닭은
만원 지하철서 "저 사람 곧 내리려나?" 눈치 안 봐도 된다…빈자리 정보 서비스 등장
"배고프다" 귀가 독촉한 남편, 현관문까지 잠갔다…8년차 주부의 고백
'사다리차 안 된다' 이사 하루 전 취소한 업체…"계약금 37만원 환불 불가" 통보
"없어서 못 팔아요" 엄청 먹더니…전 세계가 꽂힌 '보라색 금' 필리핀 고구마의 반전
현대해상
라이나생명
DB손해보험
치아보험
자동차보험
AXA손해보험
아이파크몰
건강보험
암보험