본문 바로가기
네이트
판
검색창 열기
판 검색
검색어 삭제
검색
홈
톡톡
팬톡
기자 PICK 판
MY
톡톡쓰기
오늘의 팬톡
랭킹 팬톡
MY팬톡
채널목록
책갈피
맨위로
이 게시글을 책갈피 합니다.
MY에서 그룹관리가 가능합니다.
그룹관리하기
그룹을 선택해주세요.
등록
취소
책갈피 완료!
MY > 즐겨찾기에서 확인하세요.
책갈피 해제 완료!
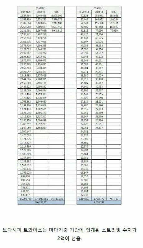
아니나지금 되게 어이가없어서그러는데
EXO
ㅇㅇ
2016.12.03 22:57
조회 124
추천 1
톡 공유하기
댓글
5
댓글쓰기
기능 더보기
크게보기
신고하기
스밍우리가 ㅂㅌ보다 낮음?
추천
추천수
1
반대
반대수
1
네이트온 보내기
카카오톡 보내기
카카오스토리 보내기
페이스북 보내기
트위터 보내기
URL복사
댓글
5
댓글쓰기
이전글
오늘티저뜰확률 1도없어쳐자 vs 기다려봐 추반좀
다음글
이거봄?
팬톡 검색 보기
EXO
최신 짤모음
사진
12
사진
1
더보기
새로운 베플
베플
가짜 유대인 제프리 앱스타인
한동훈 이부누나 김현지
댓글
39
베플
전현무는 왜 그런거래 처방전 왜..
그래서 이사람 누군데
댓글
34
베플
주사이모는 다른 사람이야
그래서 이사람 누군데
댓글
34
아이돌 24시
에스파 윈터, 인간 오렌지 ...
있지 유나 '눈길 사로잡는 ...
더보기
공유하기
네이트온
카카오톡
카카오
스토리
페이스북
트위터
URL복사
닫기
뉴스 플러스
'로켓배송' 이면엔…2차 대리점 기사들 빼돌린 쿠팡
"불편 드려 죄송합니다"…운동회 앞둔 초등생들 담벼락 안내문
"여보! 집안일 진짜 안할꺼야?" 끝나지 않는 가사노동 싸움
관세 타격에 영업익 줄었는데…"30%는 성과급으로" 기아 노조 요구
"함께 온 남친은 왜 축의금 안냈어?"…20만원 냈는데, 결혼식 다음날 전화해 따진 신부
옴 악화에 '코끼리 피부' 된 90대 노인…요양센터 소극대응 논란
"너 왜 내 험담해"…여중생 폭행하고 영상 촬영한 10대 4명 검거
현대해상
라이나생명
DB손해보험
치아보험
자동차보험
AXA손해보험
아이파크몰
건강보험
암보험