본문 바로가기
네이트
판
검색창 열기
판 검색
검색어 삭제
검색
홈
톡톡
팬톡
기자 PICK 판
MY
톡톡쓰기
오늘의 팬톡
랭킹 팬톡
MY팬톡
채널목록
책갈피
맨위로
이 게시글을 책갈피 합니다.
MY에서 그룹관리가 가능합니다.
그룹관리하기
그룹을 선택해주세요.
등록
취소
책갈피 완료!
MY > 즐겨찾기에서 확인하세요.
책갈피 해제 완료!
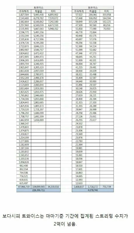
인티미쳤냐?
EXO
ㅇㅇ
2016.12.04 17:41
조회 103
추천 0
톡 공유하기
댓글
0
댓글쓰기
기능 더보기
크게보기
신고하기
추천
추천수
0
반대
반대수
0
네이트온 보내기
카카오톡 보내기
카카오스토리 보내기
페이스북 보내기
트위터 보내기
URL복사
댓글
0
댓글쓰기
이전글
어그로꼬여
다음글
ㅅㅂ엑톡존잼인건알아기지고
팬톡 검색 보기
EXO
최신 짤모음
사진
12
사진
1
더보기
새로운 베플
베플
가짜 유대인 제프리 앱스타인
한동훈 이부누나 김현지
댓글
39
베플
전현무는 왜 그런거래 처방전 왜..
그래서 이사람 누군데
댓글
34
베플
주사이모는 다른 사람이야
그래서 이사람 누군데
댓글
34
아이돌 24시
혜리, 솜사탕처럼 달콤한 비...
레드벨벳 슬기, 소유표 '1...
더보기
공유하기
네이트온
카카오톡
카카오
스토리
페이스북
트위터
URL복사
닫기
뉴스 플러스
"올해 여름도 심상찮네"…야외활동 불청객 '러브버그' 온다
"이재명에 20억 전달" 조직폭력배 박철민…경찰, 무고 혐의 수사
1221회 로또 1등 16명…당첨금 각 18억3000만원
"회사 동료 적정 축의금 5만 원"…아나운서 발언에 전현무도 '갑론을박'
"애 낳았다고 시댁서 1000만원, 적당한가요?"…시세 묻는 며느리
'서울 한복판에 이런 촌동네가?'…3040 직장인 몰려간 이유
"19m짜리 문어, 상상이 안가네"…1억년 전 바다 최상위 포식자 가능성
현대해상
라이나생명
DB손해보험
치아보험
자동차보험
AXA손해보험
아이파크몰
건강보험
암보험