본문 바로가기
네이트
판
검색창 열기
판 검색
검색어 삭제
검색
홈
톡톡
팬톡
기자 PICK 판
MY
톡톡쓰기
오늘의 판
톡커들의 선택
명예의 전당
전체목록
책갈피
맨위로
이 게시글을 책갈피 합니다.
MY에서 그룹관리가 가능합니다.
그룹관리하기
그룹을 선택해주세요.
등록
취소
책갈피 완료!
MY > 즐겨찾기에서 확인하세요.
책갈피 해제 완료!
10대 이야기
[이것좀봐줘]
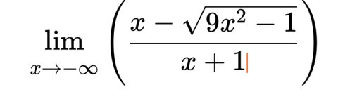
수투 극한 답좀 알려줘
ㅇㅇ
|
2023.01.18 23:21
조회
67
|
추천
0
톡 공유하기
댓글
3
댓글쓰기
기능 더보기
크게보기
신고하기
어떤 애가 올린건데
답이 궁금해져서,,
난 -8/3 나옴
추천
추천수
0
반대
반대수
0
네이트온 보내기
카카오톡 보내기
카카오스토리 보내기
페이스북 보내기
트위터 보내기
URL복사
댓글
3
댓글쓰기
10대 이야기
[이것좀봐줘]
인기 톡 채널
[댓글부탁해]
[드루와]
[19]
최신글 목록보기
태그
웹툰학원
미용사자격증
10대 이야기
베스트
이런고백이 ㅈㄴ무서운거임
댓글
96
몇번부터 통통인거같아?
댓글
213
팀플하는데 남미새년 진짜 개ㅈ같네
댓글
75
이런건 왜하는지 이해가 안감
댓글
55
입원하면 뭔가 이런거 좋음
댓글
57
더보기
명예의 전당
점점 버티기 힘들어져 간다는 직업.jpg
국내 아동학대 혐의 인정 사례라고 함.... 우린 예전에도 저런거 있었지..칠판에 이름 적어놓는거...더구나 저렇게 친근감 있게 캐릭터...
댓글
236
이런고백이 ㅈㄴ무서운거임
실제로 만나서 저러면ㄷㄷ
댓글
96
최지우 요즘 나와도 떴을 거 같음?
인중길고 여백 많다고 까일 것 같지 않냐
댓글
125
내 기준 최고의 남미새인 애들 특징 이거임
에이블리st 여리쫀쫀옷 입으면서 국힙 좋아해서 래퍼랑 사귀고싶어하는 애들이 진짜 남미새정병력 max였음
댓글
63
박지훈 벌크업함?
단종이 없어졌는데
댓글
97
더보기
추천 많은 톡
이런고백이 ㅈㄴ무서운거임
추천
269
팀플하는데 남미새년 진짜 개ㅈ같네
추천
238
애 안 가질 거면 결혼할 필요는 없다고 생각하시나요?
추천
190
방탄 망한거 맞아?
추천
161
내 기준 최고의 남미새인 애들 특징 이거임
추천
135
댓글 많은 톡
남편이랑 일요일에 크게 싸웠는데요 (그림설명 봐주세요)
댓글
312
애 안 가질 거면 결혼할 필요는 없다고 생각하시나요?
댓글
253
몇번부터 통통인거같아?
댓글
213
대기업(sk하이닉스)과 결혼하면 잘한건가요?
댓글
173
몰래 시어머니한테 300만원준 남편
댓글
171
새로운 베플
베플
별 누르니까 진짜 나오는거 뭐냐ㅋㅋㅋ 개신기하네
귀여운거 좋아하는사람 와바
댓글
3
베플
이런거 있는줄도 몰랐네
귀여운거 좋아하는사람 와바
댓글
3
베플
나 이거 쓰는데 ㄹㅇ좋음
귀여운거 좋아하는사람 와바
댓글
3
베플
현실에서도 보면 수지는 그닥 호불호 안갈리고 대부분 호임 근데 아이유는 팬도 많고 싫어하는 사람은 확실히 싫어하더라
수지 아이유 배우 글 댓글 보는데
댓글
12
베플
그런거 말해줘봤자임. 걍 입꾹닫하고 모르쇠하는게 맞음. 알려주고 아는척하면 그냥 잘난척하는사람될뿐....
카페 알바인데 진짜 ㄹㅇ 고민있음
댓글
29
더보기
공감많은 뉴스
연예
1
이수지 '풍자', '맘카페' 또 발칵…"40도 고열에도 출근, '사망' 유치원 교사 떠올라" [스타이슈]
전체 공감 수
362
2
BTS 정국, '손가락 욕' 논란 입 열었다…"사과는 하지만 잘못 아냐"
전체 공감 수
246
3
조혜정 3년만 재복귀…다이어트 후 확 달라진 모습 (유미의 세포들 시즌3)
전체 공감 수
191
4
최고기, 5년 사귄 여친과 상견례?…유깻잎과 또 '이혼' 예능 컴백('X의사생활')[Oh!쎈 예고]
전체 공감 수
163
5
故김창민 감독 가해자 "죽을 죄 지었다…거듭 사죄드린다"
전체 공감 수
161
6
KBS 대표 예능 '해피투게더', 유재석 손 잡고 6년 만 부활
전체 공감 수
158
7
"암세포도 생명" 피비 임성한 작가, 진짜 얼굴 공개…36년 만 방송 출연 '깜짝' [엑's 이슈]
전체 공감 수
157
8
마마무 솔라, 몸매가 이 정도였어? 비키니 입고 볼륨 엉덩이 노출
전체 공감 수
146
9
하지원·나나, '또' '또' 키스신…거듭되는 파격[MD이슈]
전체 공감 수
105
10
앤 해서웨이, 꽃신 선물 받고 '행복한 비명'
전체 공감 수
104
11
'62만' 유튜버 제파, 향년 26세 돌연사…5일 전 "알코올 의존증" 언급
전체 공감 수
103
12
지민, 누적 220억 하트 찍었다…케이돌 '명예의 전당 1위'
전체 공감 수
99
13
'혼전임신' 김지영♥윤수영, 매일 함께 샤워 "한시도 떨어지기 싫어"(동상이몽2)
전체 공감 수
95
14
이수지, 현실 연기로 교사들 울렸다→중노동 유치원 선생님 선보여 ('핫이슈지')
전체 공감 수
92
15
'IQ 204' 백강현, 옥스포드 불합격 이후 놀라운 근황 전했다! "악플들 전혀 의미 없어" 일침도
전체 공감 수
89
이전
1
2
3
4
5
다음
더보기
공유하기
네이트온
카카오톡
카카오
스토리
페이스북
트위터
URL복사
닫기
뉴스 플러스
2030男 63%, '영포티'에 "너무 싫어"…뭐가 그렇게 마음에 안 들었을까
6개 층 불났는데 사이렌 '쥐 죽은 듯'…"집 안에선 안 들려"
삼성 57조 잔칫날…"마이크론 갑니다" 글 띄운 퇴직자, 왜
"쉐이크쉑처럼 강남 찍나"…치폴레 1호점 입점 두고 '저울질'
"10살이면 빨래 정돈 기본 아냐?"⋯집안일 안 한 딸에 분통 터진 母
삼겹살 맛집 가면 꼭 있는 통마늘무침…美 매체도 극찬한 '알리신' 폭탄
최태원 동거인 '중국 간첩설' 유포 혐의로 '배터리 아저씨' 재판행
현대해상
라이나생명
DB손해보험
치아보험
자동차보험
AXA손해보험
아이파크몰
건강보험
암보험