본문 바로가기
네이트
판
검색창 열기
판 검색
검색어 삭제
검색
홈
톡톡
팬톡
기자 PICK 판
MY
톡톡쓰기
오늘의 판
톡커들의 선택
명예의 전당
전체목록
책갈피
맨위로
이 게시글을 책갈피 합니다.
MY에서 그룹관리가 가능합니다.
그룹관리하기
그룹을 선택해주세요.
등록
취소
책갈피 완료!
MY > 즐겨찾기에서 확인하세요.
책갈피 해제 완료!
10대 이야기
[조언부탁해]
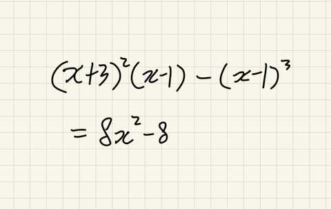
고1 수학 답 좀 봐쥴 사람
ㅇㅇ
|
2023.01.25 23:13
조회
87
|
추천
0
톡 공유하기
댓글
1
댓글쓰기
기능 더보기
크게보기
신고하기
맞는지 좀 봐줭
추천
추천수
0
반대
반대수
0
네이트온 보내기
카카오톡 보내기
카카오스토리 보내기
페이스북 보내기
트위터 보내기
URL복사
댓글
1
댓글쓰기
10대 이야기
[조언부탁해]
인기 톡 채널
[댓글부탁해]
[드루와]
[19]
최신글 목록보기
태그
투명교정
미용사자격증
10대 이야기
베스트
+ 남자들은 성욕이 상상초월한거 같음
댓글
88
히투하 이안 아빠차 마세라티임....
댓글
34
주변에 은근히 많은 사람
댓글
18
와 근데 마크 교회에서 놓치기싫을듯
댓글
10
나 남친이랑 9살 차이나는데 우리둘다나이속임
댓글
30
더보기
명예의 전당
ㅁㅊ 마크 탈퇴했다
나 시즈니인데 ㅅㅂ 전속계약 종료래 엔시티 드림 일이칠 다 탈퇴래마크 인스타도 올림.. ㅠㅠ 엔시티 정체성이 마크라고 생각했는데
댓글
151
결혼 안하신 4~50대 분들 어떻게 지내세요?
저는 결혼 비혼 이혼 아니고 못혼 결혼 못할거같아서 혼자 살려고 합니다. 대학생 이후로 연애 해본적도 없고, 더이상 저한테 관심 표하는 ...
댓글
310
올리브영 상반기 인기템 최최최최최종 ver
댓글
38
이런 뾰루지 자주 나는사람
사진 ㅈㅅ 나는 아니고 우리 오빠임 나랑 오빠랑 피부 똑같이 개예민하고 기름기 좔좔이여서 올영이나 다른 화장품들 써볼 생각도 못하고 ...
댓글
102
이안 애굣살 필러였구나..
그간 화장한 것만 봐서 자기 애굣살인 줄 알았는데 쌩얼보니 특유의 애굣살필러 투명함 비침… 쌩얼 자첸 진짜 댕이쁜데..빼는 게 더 이쁠 ...
댓글
87
더보기
추천 많은 톡
그런데 진짜 AI상담원 왜씀?
추천
508
동창회는 60대에 가야 하는 이유
추천
174
솔직히 탈퇴 진짜 깔끔하긴 함
추천
163
결혼 안하신 4~50대 분들 어떻게 지내세요?
추천
161
방탄은 걍 어나더 레벨같은데
추천
157
댓글 많은 톡
결혼 안하신 4~50대 분들 어떻게 지내세요?
댓글
309
ㅁㅊ 마크 탈퇴했다
댓글
151
중안부 짧고 코 작은 여자들 진짜 부럽다
댓글
141
미혼 40살인데 주말에 애들데리고 다니는 기혼자들 보면서 승리했다는 쾌감
댓글
113
이런 뾰루지 자주 나는사람
댓글
102
새로운 베플
베플
마세 중고 이천이면 산다 가성비는 구려서 겉모습만 화려함
히투하 이안 아빠차 마세라티임....
댓글
34
베플
하나도 안웃겨 9살차이가 뭐 자랑이라고 야기 얼려? 나 딱 니나이때 그 나이 남자 사귀는 친구 보고 제정신인가 하는 생각이 들더라 ㅋ 늙..
나 남친이랑 9살 차이나는데 우리둘다나이속임
댓글
30
베플
남자들이 먼저 가정폭력 저질렀을때만 저런 소리함 ㅋㅋ 자기보다 더쎈 남자사람들한테는 찍소리도 못하면서 약한 여친이나 아내한테 폭력..
서장훈 너무 막나가는거 아니냐?
댓글
15
베플
하투하 멤버들 다 은수저는 하는듯 요즘은 개천에서 용 안나고 돈을 만져봤던 사람들만 안목이있고 기회를 잡는 거임 애초에 서울 출신에 ..
히투하 이안 아빠차 마세라티임....
댓글
34
베플
비위 개좋누ㅋㅋㅋㅋㅋ풉
나 남친이랑 9살 차이나는데 우리둘다나이속임
댓글
30
더보기
공감많은 뉴스
연예
1
'4년만의 복귀' 이휘재, MC석 앉았다…김준현 "형은 여기가 어울려"
전체 공감 수
546
2
이휘재, '4년만' 복귀서 후배 MC 밀어냈다…"MC 자리 잘어울려" ('불후')
전체 공감 수
313
3
"양아치 됐다"…故김창민 감독 폭행 20대, 사망 후 '힙합곡' 발표 파문
전체 공감 수
170
4
김동현, 넷째 임신 최초 고백 "아이들 네 명 됐다" ('놀토')
전체 공감 수
143
5
박봄, 보정 덜어내고 찾은 '진짜 모습'…팬들도 환호
전체 공감 수
142
6
'김하온과 열애설' 과즙세연, 광란의 폭로 "유명 래퍼, 방시혁 사태 이후 DM 삭제하더라"
전체 공감 수
123
7
'5월 결혼' 신지, '뼈말라' 변신 후 웨딩드레스 피팅…"어떤게 예쁜가요?"
전체 공감 수
91
8
'비호감' 이휘재, '불후' MC 등판…"녹슬지 않은 실력" vs "시청자 우롱" [MD이슈]
전체 공감 수
87
9
"촛불집회 나가셨죠?" 조인성, 댓글 표적 됐다
전체 공감 수
80
10
태연, 38세인데 점점 더 어려져 "'놀토'서 몸에 좋은 것 주니까"
전체 공감 수
69
11
'4년 공백' 이휘재, 장기간 녹화에도 '잇몸 만개'…"이렇게 웃어본 게 얼마만인지"[불후][별별TV]
전체 공감 수
54
12
환희, 74세 母에 결국 터졌다…"남처럼 왜 그래" ('살림남')
전체 공감 수
48
13
'놀뭐' 양상국, 유재석 잡도리하다…"오늘 마지막일 듯" 폭소 [TV캡처]
전체 공감 수
47
14
이엘리야 "고교 시절 SM-빅히트 캐스팅 받아, 방시혁 직접 미팅도"(전참시)
전체 공감 수
42
15
산다라박, 이색 밀리터리 비키니로 패션 센스 챙겼다
전체 공감 수
41
이전
1
2
3
4
5
다음
더보기
공유하기
네이트온
카카오톡
카카오
스토리
페이스북
트위터
URL복사
닫기
뉴스 플러스
나영석PD가 사는 곳…호텔식 서비스 제공하는 아파트 어디?
"한문철도 100:0 이랬는데"…이게 어떻게 쌍방과실?
"이미 챙겼는데 뭐가 문제?"⋯아내 생일날 술자리 간다는 남편
"벅벅 긁을수록 뇌 쪼그라든다" 보습제 안 바른 노인의 비극
"먹다 남은 볶음밥, 애 주지 마세요"…식탁에서 2시간만 지나도 '식중독' 위험
"이 말" 하면 짝퉁 신점이다…진짜 용한 무당 알아내는 법
"낙산사, 불에 녹아내린다" 식목일 대참사…30억 피해, 보험은 5억뿐
현대해상
라이나생명
DB손해보험
치아보험
자동차보험
AXA손해보험
아이파크몰
건강보험
암보험