본문 바로가기
책갈피

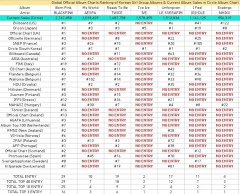
아이브 1군 맞아??

ㅇㅇ |2023.08.03 16:20
조회 3,563 |추천 23

 

 

 

 

사실만 체크해보면 엔믹스=아이브 동급같은데

누가 1군이래?

추천수23
반대수35
베플ㅇㅇ|2023.08.03 18:01
대상 신인상 싹쓸이한 아이브가 1군 아니면? 지능이 떨어지면 귓구녕 눈구녕 감각이라도 키워.
베플ㅇㅇ|2023.08.03 16:21
ㅇ 연간 1위정도면 1군이지 뭐
베플ㅇㅇ|2023.08.04 00:44
지겹다ㅋㅋㅋ 국내론 아이브한테 밀리니까 해외 성적만 갖고오는거 애초에 뉴진스나 르세라핌 방탄 하이브 소속사 아니라 쏘쓰나 울림에서 데뷔 했더라면 아이브 해외성적 절반이나 나왔을지 의문ㅋ 방시혁이 쏘쓰 사준게 갸들한텐 일생 일대의 행운인듯ㅋ
베플남자ㅇㅇ|2023.08.04 00:20
근데 애초에 니가 가져온 지표들 다 해외가 높아야 높은 지표들 아님?ㅋㅋㅋㅋㅋㅋㅋ 근데 언제부터 국내 아이돌이 해외가 잘나가야 1군 취급을 받는거였음? 니들 피프티피프티 해외 뉴진스보다도 잘나가는데 1군 취급 해줬음? 안해줬잖아 ㅋㅋㅋㅋㅋㅋㅋ 같은 맥락으로 아이브가 해외는 약하더라도 국내는 뉴진스 말고는 비빌 애들이 없는데 ㅋㅋㅋㅋㅋ 뉴진스는 국내외 둘다 잘나가니까 인정을 해주지만은 에스파, 르세라핌이 해외를 들먹일정도로 잘나가진 않는데 ㅋㅋㅋㅋㅋㅋ그리고 국내에선 아이브한테 현저히 밀리고 ㅇㅇ 애초에 뉴진스 아이브 에스파 르세라핌은 그냥 다들 1군이라고 해줘도 마땅한 애들인데, 왜 굳이 하나를 까내리려고 쌩 난리를 치냐 ㅋㅋㅋㅋ

여자들끼리만베스트

  1. 회사 때문에 ㅈㅅ시도댓글0
더보기

공감많은 뉴스 시사

더보기

뉴스 플러스