본문 바로가기
책갈피

사진有) 이쁜데 좀깨는 내친구(약속대로 홈피공개 )

배짱배짱이 |2011.01.22 02:01
조회 112,541 |추천 91
 

안녕하세여 ㅋㅋㅋㅋㅋㅋㅋㅋㅋㅋㅋㅋㅋㅋㅋㅋㅋ

 

요즘유행한다는 음,슴체로 가겟음 !

 

일단 저는 여고다니는 열여덟살 잉여인간임

 

 

 

 

이런 저에겐 사진속여신 친구가 한명잇음ㅋㅋㅋㅋㅋㅋㅋㅋㅋㅋㅋㅋㅋㅋㅋㅋ

 

인터넷에서 이쁘기로 유명하다는 그런 얼짱 비스꾸무리 한거일듯

 

그리 유명하진 않지만 사진 올렷다하면

 

방문자수가 200~300 까지 올라가고 평소엔 100은 넘는

 

그런 인터넷상 중상위 계층에 여신 한마리가 잇음

 

 

 

 

완벽해보이는 아이에게 한가지 감춰야할 문제점이잇음

상식이 살짝 조금살짝부족함  엄마가 선생님이신데 얜 유전을무시함

 

이거올리면 집안망신이라며 얘가 화낼지도모름ㅋ

 

 

 

 

 

 

 

 

 

 

 

암튼

바로 본론으로 들어가겟음 ㅋ

 

 

암튼 얘이름을 홍으로하겟음 ㅎㅎ

 

 

 

 

때는 수학시간이였음

 

우리수학선생님은 자는애들이 있으면

 

자기가 설명했던 수업내용을 물어보심

 

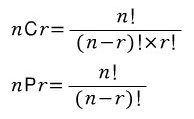
우린!(팩토리얼) 을 배우고있엇고 사건은 홍이 엎드려 잠에빠짐으로서 시작됫음

 

 

어김없이 수학선생님은 홍을깨우심

 

 

 

 그리고선 칠판에 쓰여잇던 위에공식을 지우심

 

 

 

 

 

 

수 : 아가야 일어나서 공식외워보자 (저선생님 우리보고 아가야,아가 라고부르심)

 

홍 : (대답못함)

 

수 : (두번째 공식다시쓰심) 엔피알은 엔마이너스알 펙토리얼분에 ?

 

홍 : 엔느낌표

 

 

 

엔 느낌표

 

엔 느낌표

 

 

엔 느낌표

 

 

 

엔 느낌표

 

 

 

 

 

네ㅋㅋㅋㅋㅋㅋㅋㅋㅋㅋㅋㅋㅋㅋㅋㅋㅋㅋㅋㅋㅋㅋㅋㅋㅋㅋㅋㅋㅋㅋㅋㅋㅋㅋㅋㅋㅋㅋㅋㅋㅋㅋㅋㅋㅋㅋㅋㅋㅋㅋㅋㅋㅋㅋㅋㅋㅋㅋㅋㅋㅋㅋㅋㅋㅋㅋㅋㅋㅋㅋㅋㅋㅋㅋㅋㅋㅋㅋㅋㅋㅋㅋㅋㅋㅋㅋㅋㅋㅋㅋㅋㅋㅋㅋㅋㅋㅋㅋㅋㅋㅋㅋㅋㅋㅋㅋㅋㅋㅋㅋㅋㅋㅋㅋㅋㅋㅋㅋㅋㅋㅋㅋㅋㅋㅋㅋㅋㅋㅋㅋㅋㅋㅋㅋㅋㅋㅋㅋ

 

이아이

 

펙토리얼을 느낌표라고 읽는그런 아이

 

 

심지어선생님이 앞에서

펙토리얼이라 읽엇음에도 불구하고

 

이아이는 수학공식을 귀자체에서 걸러내 아예듣질못하는듯

 

 

 

 

 

 

 

 

 

 

 

그리고 하루는 우리가 빙고게임을하고잇엇음ㅋ

 

나라이름을 주제로 하고잇엇음

 

친구1 : 야 나먼저함 ㅋ이탈리아!!!!!

 

친구2 : 프랑스!!!!!!!!!!!!!

 

홍 : 오 나 프랑스잇음 그다음나지 ? 징기스칸 !!!!!!!!!!!!!!!!!!!

 

징기스칸 !!!!!!!!!

 

징기스칸!!!!!!!!!!

 

 

징기스칸 !!!!!!!!!!!!!!!!!!!

 

 

 

 

징기스칸 !!!!!!!!!!!!!!!!!!!!!

 

 

 

???????

 

 

분명나라이름빙고하는중인데ㅋㅋㅋㅋㅋㅋㅋㅋㅋㅋㅋㅋㅋㅋㅋㅋㅋㅋㅋㅋㅋㅋㅋㅋㅋㅋㅋㅋㅋㅋㅋㅋㅋㅋㅋㅋㅋㅋㅋㅋㅋㅋㅋㅋㅋㅋㅋㅋㅋㅋㅋㅋㅋㅋㅋㅋㅋㅋㅋㅋㅋㅋㅋㅋㅋㅋㅋㅋㅋㅋㅋㅋㅋㅋㅋㅋㅋㅋㅋㅋㅋㅋㅋㅋㅋㅋㅋㅋㅋㅋㅋㅋㅋㅋㅋㅋㅋㅋㅋㅋㅋㅋㅋㅋㅋㅋㅋㅋㅋㅋㅋㅋㅋㅋㅋㅋㅋㅋㅋㅋㅋㅋㅋㅋㅋㅋㅋㅋㅋㅋㅋㅋㅋㅋㅋㅋㅋㅋㅋㅋㅋㅋㅋㅋㅋㅋㅋㅋㅋㅋㅋㅋㅋ

 

애들이 자지러지게 웃어도

 

자기만 왜웃는지 끝까지 이해못햇음

 

이뿐만이아님

 

 

 

 

 

 

 

 

 

 

하루는 과일을주제로 빙고게임햇음ㅋ

 

근데 얘랑 맞먹는 강적이나타남 그애를 송으로하겟음

 

 

 

홍 : 야 나부터시작한다 바나나!!

 

송 : 몽키바나나

 

홍 : 야 뭐야몽키바나나 ㅡㅡ 키위!!!

 

송 : 골든키위

 

ㅋㅋㅋㅋㅋㅋㅋㅋㅋㅋㅋㅋㅋㅋㅋㅋㅋㅋㅋㅋㅋㅋㅋㅋㅋㅋㅋㅋㅋㅋㅋㅋㅋㅋㅋㅋㅋㅋㅋㅋㅋㅋㅋㅋㅋㅋㅋㅋㅋㅋㅋㅋㅋㅋㅋㅋㅋㅋㅋㅋㅋㅋㅋㅋㅋㅋㅋㅋㅋㅋㅋㅋㅋㅋㅋㅋㅋㅋㅋㅋㅋㅋㅋㅋㅋㅋㅋㅋㅋㅋㅋㅋㅋㅋㅋㅋㅋㅋ저러다가 황금수박도 나왔엇음ㅋㅋㅋㅋㅋㅋㅋㅋㅋㅋㅋㅋㅋㅋㅋㅋㅋㅋㅋㅋㅋㅋㅋㅋㅋㅋㅋㅋㅋㅋㅋㅋㅋㅋㅋㅋㅋㅋㅋㅋㅋㅋㅋㅋㅋ

 

또 주제를 과자로 바꿔서 빙고게임햇음

 

 

홍 : 빼빼로

 

송 : 아몬드빼빼로

 

홍 : 야 ㅡㅡ그런게어딨음 빅파이

 

송 : 빅파이가 과자냐 ㅡㅡ 누드빼빼로

 

 

 

 

 

 

ㅇㅇ..다르니까인정..

 

 

 

쟤네는 빙고계의 타짜임

ㅋㅋㅋㅋㅋㅋㅋㅋㅋㅋㅋㅋㅋㅋㅋㅋㅋㅋㅋㅋㅋㅋㅋㅋ

ㅋㅋㅋㅋㅋㅋㅋㅋㅋㅋㅋㅋㅋㅋㅋㅋㅋ

ㅋㅋㅋㅋㅋㅋㅋㅋㅋㅋㅋ

ㅋㅋㅋㅋㅋㅋㅋ

ㅋㅋㅋ

 

 

 

 

 

 

아 !그리고

또잇음

 

 

 

우리는 학교에서 점심시간되면 노래를틀어줌

 

아브라카다브라 가 방송실에서 울려퍼지면

우리모두 허리춤을 흔들며 합창하기시작함

 

 

 

친구들 : 이러다미쳐내가~

홍 : 요리조리착하던 그런내가 ~

 

요리조리

 

요리조리

 

 

요리조리

 

 

 

 

요리조리 = 여리여리 ?

 

 

둘리 돋네 ㅋㅋㅋㅋㅋㅋㅋㅋㅋㅋㅋㅋㅋㅋㅋㅋㅋㅋㅋㅋㅋㅋㅋㅋㅋㅋㅋㅋㅋㅋㅋㅋㅋㅋㅋㅋㅋㅋㅋㅋㅋㅋㅋㅋㅋㅋㅋㅋㅋㅋㅋㅋㅋㅋㅋㅋㅋㅋㅋㅋㅋㅋㅋㅋㅋㅋㅋㅋㅋㅋㅋㅋㅋㅋㅋㅋㅋㅋㅋㅋㅋㅋㅋㅋㅋㅋㅋㅋㅋㅋㅋㅋㅋㅋㅋㅋㅋㅋㅋㅋㅋ

 

 

얘 개사능력대단함 원래 이거보다 더웃긴거 많앗는데

그건 기억이안나므로패스

 

반응좋으면 애들한테 물어봐서 2편에서 써드리겟듬 ㅋ

 

 

매번 부르는노래가사가 바껴서 기억도못하겟음

 

 

 

 

 

 

 

아 그리고 또잇음

 

이건 교회다니시는 분들만 이해하실수 잇으실텐데

 

폭풍속의주 中 에서

 

이끄소서 만왕의 주 날 붙드소서 전능의 주여  라는 가사가잇음

그런데 어느날 갑자기 홍이

 

홍 : 이끄소서 망망의주  날 붙드소서

 

망망의주

 

 

망망의주

 

 

 

 

망망의주

 

 

ㅋㅋㅋㅋㅋㅋㅋㅋㅋㅋㅋㅋㅋㅋㅋㅋㅋㅋㅋㅋㅋㅋㅋㅋㅋㅋㅋㅋㅋㅋㅋㅋㅋㅋㅋㅋㅋㅋㅋㅋㅋㅋㅋㅋㅋㅋㅋㅋㅋㅋㅋㅋㅋ내가다 창피할만큼 대범하게불럿음

 

 

 

 

 

아참 그리고 이건

 

홍이 몇년천 학원다닐때 에피소드임

 

학원에서 매주금요일마다 시험을봄

 

한강의실에 다모여서 시험을보는데

 

영어시험에서 해석문제가잇엇음

 

 

 

She has a trouble

 

솔직히 이건 너무쉬웟음 그냥 점수 얻어가라고 낸문제를

 

홍은

 

 

 

 

 

 

 

 

 

 

 

 

 

 

그녀는 여드름이났다

 

 

 

ㅋㅋㅋㅋㅋㅋㅋㅋㅋㅋㅋㅋㅋㅋㅋㅋㅋㅋㅋㅋㅋㅋㅋㅋㅋㅋㅋㅋㅋㅋㅋㅋㅋㅋㅋㅋㅋㅋㅋㅋㅋㅋㅋㅋㅋㅋㅋㅋㅋㅋㅋㅋㅋㅋㅋㅋㅋㅋㅋㅋㅋㅋㅋㅋㅋㅋㅋㅋㅋㅋㅋㅋㅋㅋㅋㅋㅋㅋㅋㅋㅋㅋㅋㅋㅋㅋㅋㅋㅋㅋㅋㅋㅋㅋㅋㅋㅋㅋㅋㅋㅋㅋㅋㅋㅋㅋㅋㅋㅋㅋ그조용한 시험장에 선생님들이랑 낄낄대면서 웃엇음ㅋㅋㅋㅋㅋㅋㅋㅋㅋㅋㅋㅋㅋㅋㅋㅋㅋㅋㅋㅋㅋㅋㅋㅋㅋㅋㅋㅋㅋㅋㅋ

 

 

 

 

 

 

 

 

 

 

 

그리고 이건 ㅋㅋㅋㅋㅋㅋㅋㅋㅋㅋㅋㅋㅋㅋㅋㅋㅋㅋㅋㅋㅋㅋㅋㅋㅋㅋㅋㅋㅋㅋㅋㅋㅋㅋㅋㅋㅋㅋㅋㅋㅋㅋㅋㅋㅋㅋㅋㅋㅋㅋㅋ올리면 아마 홍한테 엄청 맞을지모름

 

이건 상식과 관련된 사건이아님

 

 

 

이것도 몇년전 일이라고함

 

때는 학교수업시간이엿음ㅋ이미 아이들은 홍이 어떤앤지 알만큼 알고잇엇음

 

근데 전학생이 잇엇음 좀 많이친해진 전학생이였는데

 

홍이 수업시간에 입벌리고 멍때리고잇엇나봄ㅋ

 

그전학생이 홍을 계속 쳐다보고있엇는데

 

 

홍입에서 왕만한 침이 떨어졋음 ㅋㅋㅋㅋㅋㅋㅋㅋㅋㅋㅋㅋㅋㅋㅋㅋㅋㅋㅋㅋㅋㅋㅋㅋㅋㅋㅋㅋㅋㅋㅋㅋㅋㅋㅋㅋㅋㅋㅋㅋㅋㅋㅋㅋㅋㅋㅋㅋㅋㅋㅋㅋㅋㅋㅋㅋㅋㅋㅋㅋㅋㅋㅋㅋㅋㅋㅋㅋㅋㅋㅋㅋㅋㅋㅋㅋㅋㅋㅋㅋㅋㅋㅋㅋㅋㅋㅋㅋㅋㅋㅋㅋㅋㅋㅋㅋ

 

더웃긴건

 

그친구가

 

수업시간도중에

아!!!!!!!!!!!!!!!!!!!선생님!!!!!!!!!!!!!!!!!!

쟤 침흘려요!!!!!!!!!!!!!!!!!!!!!!!!!!!!!!!!!

 

ㅋㅋㅋㅋㅋㅋㅋㅋㅋㅋㅋㅋㅋㅋㅋㅋㅋㅋㅋㅋㅋㅋㅋㅋㅋㅋㅋㅋㅋㅋㅋㅋㅋㅋㅋㅋㅋㅋㅋㅋㅋㅋㅋㅋㅋㅋㅋㅋㅋㅋㅋㅋㅋㅋㅋㅋㅋㅋㅋㅋㅋㅋㅋㅋㅋㅋㅋㅋㅋㅋㅋㅋㅋㅋㅋㅋㅋㅋㅋㅋㅋㅋㅋㅋㅋㅋㅋㅋㅋㅋㅋㅋㅋㅋㅋㅋㅋㅋㅋㅋㅋㅋ그 조용한수업중에 기겁하고 소리질럿다고함

 

 

 

 

 

 

 

 

 

 

 

 

 

 

이제

 

홍의 학교에서의 일상생활 사진나가겟음

 

 

학교에서 일상생활 = 쌩얼&폐인 그래도 인권보장을위해 얼굴은 홀드해놓겟음

 

고로

이사진들은 홍이 이글을보고 지우라고 할때 쿨하게 지우겟음ㅋ

홍도 인권이 잇으니까요

 

 

 

 

 

내가 홍 한테 널주제로 판에 쓴다고하니까

 

지이미지깎인는줄은 모르고

 

 

ㅋㅋㅋㅋㅋㅋㅋㅋㅋㅋㅋㅋㅋㅋㅋㅋㅋㅋㅋㅋㅋㅋㅋㅋㅋㅋㅋㅋㅋㅋㅋㅋㅋㅋㅋㅋㅋㅋㅋㅋㅋㅋㅋㅋㅋㅋㅋㅋㅋㅋㅋㅋㅋㅋㅋㅋㅋㅋㅋㅋㅋㅋㅋㅋㅋㅋㅋㅋㅋㅋㅋㅋㅋㅋㅋㅋㅋㅋㅋㅋㅋㅋㅋㅋㅋㅋㅋㅋㅋㅋㅋㅋㅋㅋㅋㅋㅋㅋㅋㅋㅋㅋㅋㅋㅋㅋㅋㅋㅋ신이낫음 다이어리에 자랑까지함 너 싸이팬들이 떠나가는소리가들린다

 

 

 

자 이제 진짜 홍 사진 (학교에서 일상생활 = 폐인) 나가겟음

 

 

 

 

 

 

 

 

 

 

 

 

 

 

 

 

 

 

 

ㅋㅋㅋㅋㅋㅋㅋㅋㅋㅋㅋㅋㅋㅋㅋㅋㅋㅋㅋㅋㅋㅋㅋㅋㅋㅋㅋㅋㅋㅋㅋㅋㅋㅋㅋㅋㅋㅋㅋㅋㅋㅋㅋㅋㅋㅋ 머리에담요랑 목도리 돌돌말아서 묶어둔거보이심 ?

 

보충시간에 교실에서 쫓겨나서 매번 혼자 복도에서 자습하는데

 

저거 패딩도 두개 입은거임ㅋㅋㅋㅋㅋㅋㅋㅋㅋㅋㅋㅋㅋㅋㅋㅋㅋㅋㅋㅋㅋㅋㅋㅋㅋㅋㅋㅋㅋㅋㅋㅋㅋㅋㅋㅋㅋㅋㅋㅋㅋㅋㅋㅋㅋㅋㅋㅋㅋㅋㅋㅋㅋㅋㅋㅋㅋㅋㅋㅋ

 

 

 

 

 

 

 

 

 

 

그리고 ..

 

 

 

 

 

 

 

 

ㅋㅋㅋㅋㅋㅋㅋㅋㅋㅋㅋㅋㅋㅋㅋㅋㅋㅋㅋㅋㅋㅋㅋㅋㅋㅋㅋㅋㅋㅋㅋㅋㅋㅋㅋㅋㅋㅋㅋㅋㅋㅋㅋㅋㅋㅋㅋㅋㅋㅋㅋㅋㅋㅋㅋㅋㅋㅋㅋㅋㅋㅋㅋㅋㅋㅋㅋㅋㅋㅋㅋㅋㅋㅋㅋㅋㅋㅋㅋㅋㅋㅋㅋㅋㅋㅋㅋㅋㅋㅋㅋㅋㅋㅋ 엎드려서 자다가 목아프다고 저러고잇다가 저러고잠듬 

 

 

 

 

 

 

 

 

 

홍이 이거보면 저 아마 묵사발되서 돌아올듯ㅠㅠ

하지만 반응좋다면

 

 

 

 

 

 

 

 

 

 

 

 

 

 

 

 

 

 

 

 

 

 

 

 

 

 

 

이사진들의 원본을 볼수잇는미니홈피 공개하겟서여

안궁금하면 말..말구요..

 

 

 

홈피주소는 http://www.cyworld.com/fair07  이거구요!

 

원본사진은

 

 

 

 

 

 

 

여깃습니다! 어디학굔지 많이알아봐주시는데 ㅋㅋㅋㅋㅋㅋㅋㅋㅋㅋㅋㅋㅋㅋㅋㅋㅋㅋㅋㅋㅋㅋㅋㅋㅋㅋㅋㅋㅋㅋㅋㅋㅋㅋㅋㅋㅋㅋㅋㅋㅋㅋㅋㅋㅋㅋㅋㅋㅋㅋㅋㅋㅋㅋㅋㅋㅋㅋㅋㅋㅋㅋㅋㅋㅋㅋㅋㅋㅋㅋㅋㅋㅋㅋㅋㅋㅋㅋㅋㅋㅋㅋ쉿..ㅠㅠㅠㅠㅠㅠㅠㅠㅠ

저는 누군지 안밝히겟습니닼ㅋㅋㅋㅋㅋㅋㅋㅋㅋㅋㅋㅋㅋㅋㅋㅋㅋㅋㅋㅋㅋㅋㅋㅋㅋㅋㅋㅋㅋㅋㅋㅋㅋㅋㅋㅋㅋㅋㅋㅋㅋㅋㅋㅋㅎㅎ

 

 

 

아그리고 얘한테 일촌걸어도 얘컴퓨터 고장이라 피시방가야대서 일촌 띄엄띄엄받을거에여

일촌걸일은 업겟지만ㅋㅋㅋㅋㅋㅋㅋㅋㅋㅋㅋㅋㅋㅋㅋㅋㅋㅋㅋㅋㅋㅋㅋㅋㅋㅋㅋㅋㅋㅋㅋㅋㅋㅋㅋㅋㅋㅋㅋㅋㅋㅋㅋㅋㅋㅋㅋㅋ 그리고 ㅉㅃ드립 삭제햇슴니다

추천수91
반대수10
베플우왕ㅋ|2011.01.22 02:09
언니 주소 좀 가르켜줄래?
베플...|2011.01.23 00:55
못생기면 무식하다는 소리 듣는데 이쁘면 귀엽다는 소리 듣는 더러운세상!!!
베플어떻게|2011.01.23 13:40
어떻게 징기스칸이 나라라 생각했지..?

이미지확대보기

공감많은 뉴스 시사

더보기

뉴스 플러스