본문 바로가기
네이트
판
검색창 열기
판 검색
검색어 삭제
검색
홈
톡톡
팬톡
기자 PICK 판
MY
톡톡쓰기
오늘의 판
톡커들의 선택
명예의 전당
전체목록
책갈피
맨위로
이 게시글을 책갈피 합니다.
MY에서 그룹관리가 가능합니다.
그룹관리하기
그룹을 선택해주세요.
등록
취소
책갈피 완료!
MY > 즐겨찾기에서 확인하세요.
책갈피 해제 완료!
10대 이야기
[공판]
다항식인데
ㅇㅇ
|
2018.03.31 14:22
조회
42
|
추천
0
톡 공유하기
댓글
1
댓글쓰기
기능 더보기
크게보기
신고하기
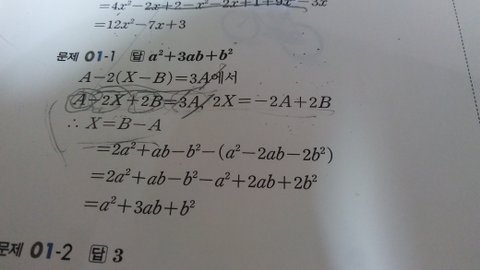
a-2x+2b=3a,2x=-2a+2b이게 왜 이렇게돼?
추천
추천수
0
반대
반대수
0
네이트온 보내기
카카오톡 보내기
카카오스토리 보내기
페이스북 보내기
트위터 보내기
URL복사
댓글
1
댓글쓰기
10대 이야기
[공판]
인기 톡 채널
[댓글부탁해]
[19]
[드루와]
최신글 목록보기
태그
웹툰학원
미용사자격증
10대 이야기
베스트
문신한사람들 가장 후회할때
댓글
137
변우석 아이유 나만 안어울림..?
댓글
141
벚꽃 축제 갔던 딸이 맞았다며 울며 전화했다
댓글
12
윤채 노출 진짜 싫어하나봄
댓글
25
재수해서 이대 갔다고 하면 어떰?
댓글
43
더보기
명예의 전당
문신한사람들 가장 후회할때
그냥 애낳으면 남자여자 상관없이 해당
댓글
137
저녁12시넘어서 안방화장실에서 샤워한다고 천장치는 아랫집^^;;
댓글중에 소음이 아랫집소음 아닐수있다고하는 댓글이있어서 글추가합니다. 저희는 층당 두세대만 사는 사이드탑층이고 안방과 붙은 옆집...
댓글
137
남은 음식 권하는 인간들 왜그럼?
진심 궁금해서 묻습니다 회사 사람들이랑 밥먹으면 꼭 남은 음식 더 먹으라고 권하는데 왜 자기들은 배부르다고 안먹으면서 남한테만 ...
댓글
144
변우석 아이유 나만 안어울림..?
아니 이번에 21세기 대군부인 티저보는데 개안어울림..;; 둘다 발연기는 아니라서 연기적으로는 괜찮은데.. 그냥 아이유가 로맨스에 잘 어...
댓글
141
악뮤 찐 대중픽 멜론 탑100 1위ㄷㄷ
전곡 한국어 가사 대중성 다 잡고 차트 1위 악뮤 ㅈㄴ 대단하다 ㅊㅋㅊㅋ ++++ 오 오늘 2위도 악뮤가 가져갔다 대박 ㅊㅋㅊㅋ해
댓글
220
더보기
추천 많은 톡
악뮤 찐 대중픽 멜론 탑100 1위ㄷㄷ
추천
385
문신한사람들 가장 후회할때
추천
357
와.. 장모님 살인범 또 조씨임;;
추천
328
엄마가 돌아가셨습니다
추천
322
변우석 아이유 나만 안어울림..?
추천
296
댓글 많은 톡
시어머니께 아이 맡기는 문제, 돈까지 보내며 사정하시는데요..
댓글
300
와.. 장모님 살인범 또 조씨임;;
댓글
261
프로포즈 안 하고 결혼하는 경우도 많을까요?
댓글
229
악뮤 찐 대중픽 멜론 탑100 1위ㄷㄷ
댓글
220
어린이집에 응우옌있어요
댓글
201
새로운 베플
베플
아니 ㅋㅋㅋㅋㅋㅋ전여친을 왜 찾아가 ㅋㅋㅋㅋㅋㅋㅋㅋㅋㅋㅋ 진짜 경계선지능수준인데
벚꽃 축제 갔던 딸이 맞았다며 울며 전화했다
댓글
12
베플
진심 지능 떨어지는 대화내용이다 저게 교수랑 나눈 대화인게 실화냐 ...
오늘 항공과 교수님이랑 상담하는데
댓글
14
베플
저 정도로 막장인 애들은 대학 갈 생각도 없을 걸
벚꽃 축제 갔던 딸이 맞았다며 울며 전화했다
댓글
12
베플
난 성인이고, 주식은 시드 싸움인게 난 시드가 적기도 했고 주식은 오래봐야 한대서 몇년간 묵혀두고 겨우 몇백 벌었는데 부자인 친구는 3..
주식했는데 13만원 벌었다!!!
댓글
36
베플
일반인들이 봤을때는 세상에 멋있는 문신 같은건 없음.
문신한사람들 가장 후회할때
댓글
138
더보기
공감많은 뉴스
연예
1
"저는 김창민 감독 살해범입니다", 유튜브서 사과…동석자 "조폭 출신 맞다" 고백[MD이슈]
전체 공감 수
518
2
곽튜브, 공무원 아내 '김영란법' 위반?…조리원 '협찬' 지웠다가 '역풍'
전체 공감 수
116
3
'유치원 교사' 이수지 또 대박…"급식 계란 난각번호 물어" 경험담 줄이어 [스경X이슈]
전체 공감 수
104
4
KCM, 15년 숨긴 중학생 첫딸 이렇게 예쁘다고? "학교에 가족사진도 못 내" 뭉클(슈돌)
전체 공감 수
99
5
故 김창민 감독 "돈가스 칼 들어"…식당 종업원 진술에 경찰 '쌍방폭행' 판단 [스타이슈]
전체 공감 수
96
6
서인영, 똑닮은 새엄마 공개…욕설 논란에 눈물 "공황장애로 많이 아팠던 건데"
전체 공감 수
92
7
"다시 보고 싶지 않다"…'200억 뱉어낸' 차은우, 잘못 인정에도 싸늘한 반응 [엑's 이슈]
전체 공감 수
83
8
풍자, 몰라보게 날씬해진 근황 "30kg 감량…초고도에서 고도됐다" [RE:뷰]
전체 공감 수
52
9
"남편·동서는 내연관계·조카는 혼외자" 친자 검사까지 한 아내, 충격 결과 ('이숙캠')
전체 공감 수
50
10
장원영X앤 해서웨이, 동서양 대표 바비인형의 만남…메릴 스트립도 '엄마 미소'
전체 공감 수
48
11
'불법 도박' 이진호, 급성 뇌출혈에 팬들 몰려왔다…팬카페에 걱정 글 잇따라
전체 공감 수
46
12
아이들 미연, '동탄 미시룩 어때요?'
전체 공감 수
45
13
곽튜브 공무원 아내 '김영란법' 위반 금품 수수했나…'초고가 조리원' 협찬 논란
전체 공감 수
42
14
'40억 건물주' 이해인, 月이자 1200만원 내려 '속옷 공구'…"별걸 다 한다"
전체 공감 수
41
15
김지민, 성형 전 사진에 쏟아진 악플…"사실 성형 후 사진이었다" 분노
전체 공감 수
37
이전
1
2
3
4
5
다음
더보기
공유하기
네이트온
카카오톡
카카오
스토리
페이스북
트위터
URL복사
닫기
뉴스 플러스
"저는 김창민 감독 살해범입니다" 유튜브 방송 한 가해자
'그알' 나온 美 연쇄살인마 "8명 죽였다" 자백…실종 한인 女 행방은?
머스크가 공유한 한글 게시물, 알고 보니 '윤 어게인' 관련자…온라인 발칵
어제 남긴 피자, 그냥 드셨나요?…2시간 지나면 세균 폭증, 바로 버리세요
"매력 없네" 독설 쏟아낸 김선태…여수섬박람회 영상 '조회수 300만'
"나는 뭐 팀장하고 싶어서 하냐?"…뒷담화에 분노한 女팀장 '하소연'
비행기 사고로 남편·시부 잃었는데…"아들 상속분 내놔라" 매정한 시모
현대해상
라이나생명
DB손해보험
치아보험
자동차보험
AXA손해보험
아이파크몰
건강보험
암보험