본문 바로가기
네이트
판
검색창 열기
판 검색
검색어 삭제
검색
홈
톡톡
팬톡
기자 PICK 판
MY
톡톡쓰기
오늘의 판
톡커들의 선택
명예의 전당
전체목록
책갈피
맨위로
이 게시글을 책갈피 합니다.
MY에서 그룹관리가 가능합니다.
그룹관리하기
그룹을 선택해주세요.
등록
취소
책갈피 완료!
MY > 즐겨찾기에서 확인하세요.
책갈피 해제 완료!
묻고 답하기
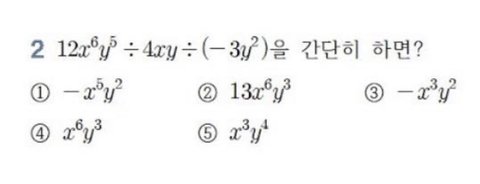
[이것좀봐줘]
중2문제 좀 풀어주세욤ㅠ
쓰니
|
2020.05.12 20:32
조회
33
|
추천
0
톡 공유하기
댓글
1
댓글쓰기
기능 더보기
크게보기
신고하기
제발 도와주세요 ㅜㅠㅠ
추천
추천수
0
반대
반대수
0
네이트온 보내기
카카오톡 보내기
카카오스토리 보내기
페이스북 보내기
트위터 보내기
URL복사
댓글
1
댓글쓰기
묻고 답하기
[이것좀봐줘]
인기 톡 채널
[댓글부탁해]
[역사란무엇]
[흑백요리사]
최신글 목록보기
명예의 전당
점점 버티기 힘들어져 간다는 직업.jpg
국내 아동학대 혐의 인정 사례라고 함.... 우린 예전에도 저런거 있었지..칠판에 이름 적어놓는거...더구나 저렇게 친근감 있게 캐릭터...
댓글
233
이런고백이 ㅈㄴ무서운거임
실제로 만나서 저러면ㄷㄷ
댓글
90
최지우 요즘 나와도 떴을 거 같음?
인중길고 여백 많다고 까일 것 같지 않냐
댓글
121
내 기준 최고의 남미새인 애들 특징 이거임
에이블리st 여리쫀쫀옷 입으면서 국힙 좋아해서 래퍼랑 사귀고싶어하는 애들이 진짜 남미새정병력 max였음
댓글
62
박지훈 벌크업함?
단종이 없어졌는데
댓글
93
더보기
추천 많은 톡
변우석 아이유 솔직히 할말하않
추천
315
이런고백이 ㅈㄴ무서운거임
추천
255
애 안 가질 거면 결혼할 필요는 없다고 생각하시나요?
추천
185
돌판 최고 팬기만 걸그룹은 에스파가 아니라
추천
166
방탄 망한거 맞아?
추천
158
댓글 많은 톡
일요일 오후 결혼이 그렇게 욕먹을일인가요..?
댓글
438
초3딸아이에게 집안일 시키는 게 잘못된건가요??
댓글
396
남편이랑 일요일에 크게 싸웠는데요 (그림설명 봐주세요)
댓글
311
변우석 아이유 솔직히 할말하않
댓글
275
애 안 가질 거면 결혼할 필요는 없다고 생각하시나요?
댓글
249
새로운 베플
베플
궁금하시니 물어보시는 거겠죠. 계속 다니면 혹시 애봐달랄까봐 그럴수도 있고 그만둔다면 아들혼자 외벌이가 걱정되서 그럴수도 있고 등등..
회사 계속 다닐 거냐고 묻는거 무슨뜻이야?
댓글
42
베플
예쁜긴함 수요가 없을뿐
설윤 갠광고 1개짤렸네
댓글
117
베플
이번 시구도 개좋았음ㅠㅠㅠㅠㅠㅠㅠㅠ (댓 정병들 ㅁㄱ 정병들댓에 반응 하지마 ㅁㄱ이 답임. 댓에서 타돌 정병짓하는거 설윤 팬 아님 ㅁㄱ)
헐 설윤 시구한거 미쳤네
댓글
52
베플
이게 뭐 라고 또 올리냐.. 르세라핌 그만 좀 괴롭혀
허윤진 한강 꽃 꺾은거 욕먹는 이유가
댓글
20
베플
동거 때려치고 쓰니 나가면 그 여자랑 만나서 결혼도 하겠네. 쓰니야, 계속 동거할거면 결혼을 하던가. 아니면 그만 동거 접어. 그런 취급 ..
궁금해서 여쭤봅니다(여초회사 다니는 남친)
댓글
12
더보기
공감많은 뉴스
시사
1
"입주민에 죄송"…'음료 3잔 고소' 카페 점주, 사과문 게시에 역풍
전체 공감 수
407
2
"15세 김모군, 수학여행서 남학생 집단 성폭행"…美 성인 법정 섰다
전체 공감 수
293
3
태국 노동자 몸에 '에어건' 쏜 공장 대표 "장난이었다"
전체 공감 수
268
4
"좌석에 둔 가방 왜 건드려"…지하철서 남성 승객 뺨 수차례 때린 여성[영상]
전체 공감 수
251
5
공영주차장 '5부제' 첫날…끝자리 3·8번 택배·학원차 '잠깐'도 불가
전체 공감 수
226
6
"'일본 가면 하룻밤 재워줄 수 있어?' 봄만 되면 너도나도 부탁…어떡하죠"
전체 공감 수
219
7
트럼프 "오늘밤 한문명 사라질것" 최후경고…하르그섬 軍시설 맹폭(종합)
전체 공감 수
189
8
횡단보도서 5살아이 친 중학생…"학생 엄마는 자전거 비싼건데 기스 나" 황당
전체 공감 수
186
9
추미애, 결선 없이 與경기지사 후보로…김동연 現지사 탈락
전체 공감 수
157
10
북 장금철 "계속 까불어대면 재미없다…김여정 담화는 분명한 경고"
전체 공감 수
129
11
미국-이란, 2주간의 '휴전 및 호르무즈 개방' 사실상 합의
전체 공감 수
121
12
"오늘은 1시간, 내일은 2시간 연차 쓸게요"…직장인 '연차 쪼개 쓰기' 시대 온다
전체 공감 수
119
13
경윳값 유럽 32% 오를 때 韓 8%…최고가격제로 '버티기' 중
전체 공감 수
118
14
'일요일 오후 5시 결혼' 청첩장 줬더니…"욕먹을 것" 친구의 한마디
전체 공감 수
115
15
트럼프 "2주간 이란 공격 중단 동의…호르무즈 즉각 개방 조건"
전체 공감 수
111
이전
1
2
3
4
5
다음
더보기
공유하기
네이트온
카카오톡
카카오
스토리
페이스북
트위터
URL복사
닫기
뉴스 플러스
"좌석에 둔 가방 왜 건드려"…지하철서 남성 승객 뺨 수차례 때린 여성
14살 여중생 성매매한 30대…"열심히 안 해" 살해, 돈도 뺏었다
삼성 57조 잔칫날…"마이크론 갑니다" 글 띄운 퇴직자, 왜
"쉐이크쉑처럼 강남 찍나"…치폴레 1호점 입점 두고 '저울질'
삼겹살 맛집 가면 꼭 있는 통마늘무침…美 매체도 극찬한 '알리신' 폭탄
최태원 동거인 '중국 간첩설' 유포 혐의로 '배터리 아저씨' 재판행
"전직 승무원 아내 버리고 현직 승무원과 살림?"…중견기업 후계자의 '평행이론' 불륜
현대해상
라이나생명
DB손해보험
치아보험
자동차보험
AXA손해보험
아이파크몰
건강보험
암보험