본문 바로가기
책갈피

우리나라여자 진짜 그렇게 가슴이작은건가?

기역이 |2021.01.22 18:10
조회 28,789 |추천 22


30대 중후반이면 거의 가슴이 다발달하잔아? 근데 둘레만봐도 남자보다 이리작은데,


더구나 키랑 덩치차이로 인한 비율도 170 vs 160이니까 거의없고


 

 가슴두께까지 남자보다 작은줄은 몰랐다, 두께는 둘레랑 다르게 2.5cm마다 1컵씩 차이나는게


아니고, 0.4cm였나?(4mm)마다 1컵씩 차이나지않아? 그런걸로 들었는데


 차이나지않아?(4mm)

 

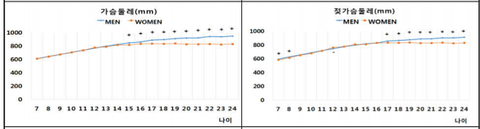
혹시나 딴소리할수있으니 가슴둘레도 가져옴


저표에서 측정한 여자 가슴이 A컵이라고 쳐도, 남자에비해서 거의 4~10컵가량 낮은거같은데

추천수22
반대수96
베플ㅇㅇ|2021.01.23 02:54
꼬추 작은 것만 하겠니
베플ㅇㅇ|2021.01.22 20:03
흔히 말하는 가슴크기하고 가슴둘레는 다른데. 여자가슴이 크다 적다 하는건 a컵 b컵 c컵 이런거고 가슴둘레는 유방밑 둘레여서 유방크기보다 소위 말하는 떡대와 더 관련이 있음
베플ㅇㅇ|2021.01.23 00:52
불쌍한 한국남자들 ㅜ
베플ㅇㅇ|2021.01.23 13:23
니네 9cm 라고 지구촌에 다 소문났던데?

공감많은 뉴스 시사

더보기

뉴스 플러스