본문 바로가기
책갈피

수학 기출분석법 12

ㅇㅇ |2023.09.22 23:52
조회 542 |추천 3

오늘 문제도 무난~쉬운 문제니까 풀어봐

중요 point

- 조건들을 유기적으로 연결시키는 연습은 선택이 아닌 필수

-등비수열의 짝수차항 홀수차항의 합 공식을 아직도 모르진 않겠지?




오늘은 수학 문제에서 조건들이 주어졌을 때 해야될 사고방식에 포커스를 맞춰보려고 함

내가 저 문제를 풀었을 때 첫 번째부터 마지막까지 어떤 생각을 했는지 잘 따라와줬으면 해


1. 조건을 보고 대충 풀이과정과 순서를 정한다

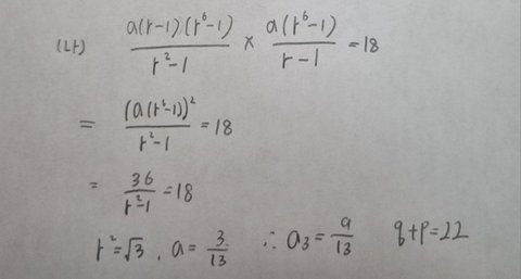
(가) 조건을 보고 a(r⁶-1)의 꼴이 나오는 것을 먼저 확인한 뒤로 바로 (나)조건을 보면 등비수열의 초항부터 6번째항까지 합이므로 Sn이 (r⁶-1) 꼴로 나오니까 (가)조건의 식을 그대로 대입해서 a나 r의 값을 구한 뒤에 다시 a나 r 값을 (가)조건 식에 넣어서 나머지 문자를 구한 뒤에 a3을 구하면 되겠다.

라는 생각을 가장 먼저 했음


2. 어려워 보이는 조건?

수열의 합 사이에 (-1)을 교차로 곱해준다는 것은 음수인 항들과 양수인 항들을 서로 묶어주면 공비가 r²이 될 것이고 또한 항의 개수가 각각 3개 이므로 합공식을 쓰면 (r⁶-1)의 식이 나오니까 바로 식을 세우면 되겠다.



3. 바로 식 세우기

-(a1+a3+a5) = -a(r⁶-1)/(r²-1)
a2+a4+a6 = ar(r⁶-1)/(r²-1)

++ 짝수항의 합의 초항은 a2이기 때문에 ar로 놓기! 실수 유발할 수 있음 또한 짝/홀수차항의 등비수열은 공비가 r²이다

Sn=a(r⁶-1)/(r-1)


이런 식으로 거의 1분 내외로 풀었던 것 같아

많은 사람들이 수학에서의 행동강령이 없다고 생각하는데 국어랑 마찬가지로 수학에서도 행동강령이 필요하다고 생각해

예를 들어
정적분 함수 문제가 나올 땐 적분이 아닌 함숫값 대입과 미분을 통해서 문제를 푼다.

그래프의 넓이를 구할 땐 먼저 그래프 넓이 공식을 생각한다
(이차, 삼차, 점대칭)
+ 혹시 점대칭 함수의 넓이 구하는 법 모르는 사람 있으면 댓글 남겨줘

등차수열의 합은 등비중항×개수로 생각하기

이런 식으로 너희들이 문제를 많이 풀어보고 분석하면서 이런 유형에서는 내가 이런 생각을 가지고 접근을 하면 더 빨리 풀 수 있구나라는 너만의 루틴을 만들어야 한다는 거야
그래서 대부분 의대합격 칼럼이나 높은 성적을 맞은 사람들의 인터뷰를 보면 항상 과목마다 단권화를 해서 수능 직전에 모든 돌발상황에 대한 대처법을 이미 다 정리해서 가기 때문에 실전에서도 당황하지 않고 좋은 성적을 가져갈 수 있었을 거라고 생각해


요즘 할 말이 많아지는데 제발 문제 보고 간단한 0이나 1 대입 먼저 해보는 건 좋은데 제발 먼저 문제를 충분히 다 읽고 최소 15초에서~30초 정도는 내가 어떤 식으로 풀이를 이끌어갈지 머릿 속으로 정리해두고 문제 풀자...!! 30초 아끼겠다고 풀이 잘못써서 다 지우고 다시 쓰면 멘탈도 털리고 시간낭비니까!!

추천수3
반대수0

공감많은 뉴스 연예

더보기

뉴스 플러스