본문 바로가기
네이트
판
검색창 열기
판 검색
검색어 삭제
검색
홈
톡톡
팬톡
기자 PICK 판
MY
톡톡쓰기
오늘의 판
톡커들의 선택
명예의 전당
전체목록
책갈피
맨위로
이 게시글을 책갈피 합니다.
MY에서 그룹관리가 가능합니다.
그룹관리하기
그룹을 선택해주세요.
등록
취소
책갈피 완료!
MY > 즐겨찾기에서 확인하세요.
책갈피 해제 완료!
10대 이야기
[공판]
고 1 수학 헬프미..
ㅇㅇ
|
2016.06.25 20:24
조회
87
|
추천
0
톡 공유하기
댓글
2
댓글쓰기
기능 더보기
크게보기
신고하기
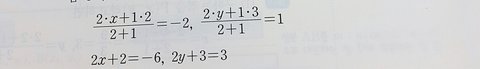
이 문제 풀고 있는데 풀이과정 중에서 이해가 안되는 부분이 있어.. 아는 사람 도와줘ㅠㅠㅠㅠㅠㅠ
이 부분이 이해가 안돼 왜 이게 =-2고 =1이야?
추천
추천수
0
반대
반대수
0
네이트온 보내기
카카오톡 보내기
카카오스토리 보내기
페이스북 보내기
트위터 보내기
URL복사
댓글
2
댓글쓰기
10대 이야기
[공판]
인기 톡 채널
[댓글부탁해]
[19]
[드루와]
최신글 목록보기
태그
웹툰학원
미용사자격증
10대 이야기
베스트
문신한사람들 가장 후회할때
댓글
151
변우석 아이유 나만 안어울림..?
댓글
160
벚꽃 축제 갔던 딸이 맞았다며 울며 전화했다
댓글
38
이안 이 사진 ㄹㅈㄷ라 생각
댓글
40
윤채 노출 진짜 싫어하나봄
댓글
26
더보기
명예의 전당
문신한사람들 가장 후회할때
그냥 애낳으면 남자여자 상관없이 해당
댓글
151
저녁12시넘어서 안방화장실에서 샤워한다고 천장치는 아랫집^^;;
댓글중에 소음이 아랫집소음 아닐수있다고하는 댓글이있어서 글추가합니다. 저희는 층당 두세대만 사는 사이드탑층이고 안방과 붙은 옆집...
댓글
144
남은 음식 권하는 인간들 왜그럼?
진심 궁금해서 묻습니다 회사 사람들이랑 밥먹으면 꼭 남은 음식 더 먹으라고 권하는데 왜 자기들은 배부르다고 안먹으면서 남한테만 ...
댓글
153
변우석 아이유 나만 안어울림..?
아니 이번에 21세기 대군부인 티저보는데 개안어울림..;; 둘다 발연기는 아니라서 연기적으로는 괜찮은데.. 그냥 아이유가 로맨스에 잘 어...
댓글
160
악뮤 찐 대중픽 멜론 탑100 1위ㄷㄷ
전곡 한국어 가사 대중성 다 잡고 차트 1위 악뮤 ㅈㄴ 대단하다 ㅊㅋㅊㅋ ++++ 오 오늘 2위도 악뮤가 가져갔다 대박 ㅊㅋㅊㅋ해
댓글
223
더보기
추천 많은 톡
전라도 음식 부심
추천
448
악뮤 찐 대중픽 멜론 탑100 1위ㄷㄷ
추천
400
문신한사람들 가장 후회할때
추천
394
엄마가 돌아가셨습니다
추천
386
와.. 장모님 살인범 또 조씨임;;
추천
347
댓글 많은 톡
시어머니께 아이 맡기는 문제, 돈까지 보내며 사정하시는데요..
댓글
323
와.. 장모님 살인범 또 조씨임;;
댓글
266
제발 아들들 성교육좀 잘시키세요ㅠㅠ
댓글
239
프로포즈 안 하고 결혼하는 경우도 많을까요?
댓글
226
아이 낳아줄테니 집 명의 넘기라는 아내, 제가 씨받이 구하는 건가요?
댓글
224
새로운 베플
베플
고양이 강아지 비둘기 봤음!. 아직 호랑이는 못봐서 왕국정도는 아니고 ㅜㅜ
대학 다니면서 동물의 왕국 썰 좀 풀어줘
댓글
33
베플
어머 진짜 좀 그렇다
진지하게 이정도면 몸에 이상있는수준 아니냐
댓글
9
베플
촉법 없애야 된다!!!
벚꽃 축제 갔던 딸이 맞았다며 울며 전화했다
댓글
36
베플
탄수화물을 겁나 처먹으니까 살이찌지 무슨 건강한 뚱땡이야 멍청한 뚱땡아
난 ㄹㅇ건강한 뚱땡이의 표본인가
댓글
33
베플
근데 그냥 중간이 없는듯. 너무 과해서 줄이라 그러면 콩나물 시들은 것마냥 풀이 확죽어버리고 어떨땐 진짜 고음이 ㅈㄴ 과해서 귀 찢어질..
베몬 아현 진짜 안타까움
댓글
14
더보기
공감많은 뉴스
연예
1
"저는 김창민 감독 살해범입니다", 유튜브서 사과…동석자 "조폭 출신 맞다" 고백[MD이슈]
전체 공감 수
184
2
故 김창민 살해 가해자 '유튜브 출연'…사과보다 커진 '2차 가해' 논란
전체 공감 수
165
3
'바다 실종 이틀 만에' 선장 찾은 해남, 고성댁 하재숙 남편이었다 "잘 모시고 나와"
전체 공감 수
163
4
곽튜브, 산후조리원 협찬 논란 사과 "미혼모 위해 3,000만 원 기부" [소셜in]
전체 공감 수
160
5
'박유천 동생' 박유환, 숨겨진 2살 딸 있었다…♥아내 애칭 '써니'
전체 공감 수
156
6
방탄소년단 RM, 폭우 뚫고 콘서트 끝낸 뒤 "6년 반 걸렸다"
전체 공감 수
126
7
강민경, "저 결혼해요" 기습 발표…팬들 '깜짝'
전체 공감 수
126
8
서인영, 30년 키워준 새엄마 공개…"우릴 위해 친자식도 안 낳았다"
전체 공감 수
125
9
추성훈 "정국이 직접 초대"…빗속 BTS 콘서트 직관 인증
전체 공감 수
122
10
구제역, 쯔양 무고 혐의로 송치…경찰 "고의성 인정"
전체 공감 수
120
11
또 끼어든 '쯔양 공갈' 카라큘라…'故김창민 살해범 인터뷰'에 유족 분노 폭발
전체 공감 수
98
12
"남편·동서는 내연관계·조카는 혼외자" 친자 검사까지 한 아내, 충격 결과 ('이숙캠')
전체 공감 수
92
13
백강현, 10살에 과학고 입학→자퇴 "학폭 피해…많이 울었다" (영재발굴단)
전체 공감 수
91
14
구혜선, 15만 원 '가격 논란' 딛고 또…이번엔 23만 원 파우치 "작품이라 불러달라"
전체 공감 수
72
15
변우석, 연기력 논란 꼬리표 떼고 '얼굴값' 할까? ['21세기 대군부인' 첫방 ②]
전체 공감 수
69
이전
1
2
3
4
5
다음
더보기
공유하기
네이트온
카카오톡
카카오
스토리
페이스북
트위터
URL복사
닫기
뉴스 플러스
"엄마, 홈캠 달아줘" 13세 딸 오열…'성추행' 과외교사 "쟤가 먼저 유혹"
"내 일처럼 경찰서 달려가" 225만 필리핀 인플루언서 울린 한국인 기사의 품격
대전 빵집 성심당 영업익 600억 돌파…파바+뚜레 눌렀다
'알겠습니다^^' 해놓고…가상자산거래소 영업정지한 FIU
"구토와 설사"…'천원의 아침밥' 도시락 먹은 대학생 20명 날벼락
"주민 신뢰가 재산이라더니 통장은 0원?"…명예만 남기고 떠난 구의원 아버지
"2주에 5천만원"…산후조리원, 한국여자만 유난이라고요?
현대해상
라이나생명
DB손해보험
치아보험
자동차보험
AXA손해보험
아이파크몰
건강보험
암보험